接到朋友恢复请求,由于客户的误操作(生产库遇到问题,无法正常open,在没有确认备份和归档日志完全正常的情况下,直接restore database操作),导致原库数据文件被备份中的数据文件还原,而且中间归档丢失,无法一直应用归档把数据文件追到最新.通过
Oracle Database Recovery Check
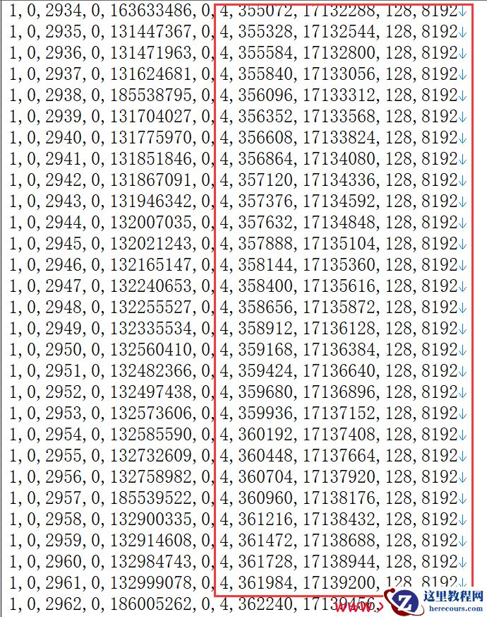
脚本check数据库结果如下
这里很明显红色框中数据文件被还原,发现一个可喜的地方,被还原的文件相对都比较小,也就是说相对覆盖的部分可能不会太多.通过alert日志确认数据被rman还原覆盖
然后继续应用日志恢复
悲剧发生了明显thread 2的sequence 297归档日志发现丢失,进一步发现这个rac(2节点)一共丢失了300个左右的归档日志.到这一步常规方法来说,基本上无解,放弃数据库恢复,因为基于现在的情况客户2014-07-27 07:18:12创建的,目前只是恢复到了2014-10-20 08:26:43日期的数据,而且通过数据库现状判断,数据库主要是写入file 4,也就是users表空间的第一个数据文件中,而该文件已经被还原,强制拉库没有意义.考虑通过bbed修改文件头,跳过相关丢失的归档,继续应用以后的归档,因为跳过的归档太多,基本上不可行(跳过这些丢失的归档之后,后面的归档继续应用会报错).基于这样的情况,抱着一丝丝的希望,rman备份是业务上线之后备份(这样被还原的system里面就有完整的业务数据字典信息).通过对system文件进行分析,确认我们比较幸运,业务数据创建于2014-8月份,而且根据客户的反馈之后基本上没有变更.参考:
asm disk header 彻底损坏恢复
方法扫描效果比较好,file 4 的觉大部分block均存在
然后通过这些block重组成数据文件然后结合以前的system文件,强制open库,基本上实现客户数据的绝大部分恢复.
类似案例还有: asm磁盘组误删除文件恢复 又一例asm格式化文件系统恢复 Oracle 数据文件大小为0kb或者文件丢失恢复 oracle asm disk格式化恢复—格式化为ntfs文件系统 oracle asm disk格式化恢复—格式化为ext4文件系统 alter database create datafile 导致数据文件丢失恢复 分享oracleasm createdisk重新创建asm disk后数据0丢失恢复案例
