渐缩弯头是管道工程中常用的变径转弯构件,它是由若干锥度相同的圆锥管对接而成,接口处的结合线为平面曲线,投影中积聚为直线。两端口平面根据需要成一定角度λ,中间各节圆锥管的轴线较长,两端节轴线较短,相当于中间节的一半。展开时为节省板材和提高精度,常将偶数节管绕其自身轴线旋转180°后,把各节管拼接为一正圆锥管进行展开,正圆锥管的高度等于弯管各节轴线长度之和。
渐缩弯头的展开方法,传统常用的方法是“作图法”和“计算法”。应用传统的方法对渐缩弯头进行展开比较繁琐且精度不高。尽管一些资料上介绍了一些展开计算的数据表,可以减轻部分计算丁作量,但这些数据表不全面,只对一些常用的渐缩弯头展开有用。
基于此,下面拟以渐缩弯头管件的展开为例,利用solidWorks三维绘图软件,介绍一种新的展开方法。
l 实例
图l所示为任一渐缩弯头管件。其中图1a为其立体图;图1b为平面图。从图中可以看出,该渐缩弯头管件的端口直径D=600 mm,d=360 mm;弯头弯曲中心线半径R=600 mm;端口平面夹角λ=100°,节数,N=5。要求求出该渐缩弯头管件的平面展开图。现在设定渐缩弯头的展开按薄板处理,忽略板料厚度。

▲图1渐缩弯头
2 展开计算
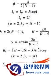
根据渐缩弯头的特性和传统计算公式,对渐缩弯头进行必要的计算如下:
(1-7)
式中各参数所表示的意义参照图1b及图2。根据以上公式,已知条件与计算结果如下:
已知条件:D=600mm,d=360 mm,R=600mm,λ=100°,N=5。
计算所问数据:B=12.5°.
=133.h=1064.16;H=2660.4;y=83.57°;
=164.53;
=423.57;
=682.61;
=941.64。
根据所得数据,做出渐缩弯头管件的放样图,如图2所示。

▲图2渐缩弯头放样图
3渐缩弯头实体建模
3.1正圆锥建模
(1)渐缩弯头将偶数节旋转180°后,各节拼接后为一正圆锥。首先对该正圆锥进行实体建模。
(2)绘制“草图l”,选择“前视基准面“→”草图绘制(2D草图)”,绘制一个直角梯形(尺寸参照图2所示),选择“特征“→”旋转凸台”,以直角梯形的直角边为中心轴,旋转得到如图3所示的正圆锥。

▲图3正圆锥实体
(3)分别过直线
,且垂直于“前视基准面”,作“基准面l”、“基准面2”、“基准面3”和“基准面4”。
(4)分别用“基准面l”、“基准面2”、“基准面3”和“基准面4”截取正圆锥,所得的4个截面均为椭圆,测量其长轴和短轴,所得数据如下表所示。
四个椭圆截面的长轴和短轴表

表中截面1为过直线
的基准面1截正圆锥所得的椭圆,截面2为过直线
的基准面2截正圆锥所得的椭圆,截面3、截面4依次类推。
3.2第1节建模
(1)选择“新建“→”零件”,绘制“草图1”,选择“前视基准面“→”草图绘制(2D草图)”,绘制如图1b)所示的草图(把图1b)中的实线全部改为虚线)。

▲图4草图2(第1节)
(2)绘制“草图2”,选择“上视基准面“→”草图绘制(2D草图)“→”圆”,绘制如图4所示的草图,在草图的一侧留一切口,切口形状如图5所示。

▲图5切口形状
(3)绘制“草图3”,过直线
且垂直于“前视基准面”,作“基准面1”,选择“基准面l“→”草图绘制(2D草图)“→”椭圆”,绘制如图6所示的草图,椭圆的长轴和短轴与表2中截面l的长轴与短轴相同。在草图的一侧留一切口(切口位置与草图l中切口在相同一侧),切口形状如图5所示;切口的宽度应尽可能的小,但不能太小。否则不能生成放样实体。

▲图6草图3(第l节)
(4)生成第1节钣金实体,选择“钣金“→”放样折弯”,“轮廓”选择”草图2”和“草图3”,厚度输入0.005(任意输入,数值越小越好),生成渐缩弯头第l节实体如图7所示。

▲图7第1节实体
(5)保存,命名“第l节实体”。
3.3第2节建模
(1)重复3.2中步骤l,绘制“草图l”。
(2)绘制“草图2”,过直线
且垂直于“前视基准面”,作“基准面l”,在“基准面l”上绘制“草图2”,长轴与
重合,椭圆形状与图6完全相同,不同之处为切口旋转180°到对侧。
(3)绘制“草图3”,过直线
且垂直于“前视基准面”,作“基准面2”,在“基准面2”上绘制“草图3”,形状为椭圆,椭圆的长轴和短轴与表2中截面2相同,且长轴与直线
重合。切口位置与“草图2”在同一侧,形状如图5所示。
(4)生成第2节实体,选择“钣金“→”放样折弯”,“轮廓“选择”草图2”和“草图3”,厚度输入0.005,生成如图8所示的实体。

▲图8第2节实体
(5)保存,命名“第2节实体”。
3.4第3节、第4节、第5节实体建模
参照3.2和3.3中的步骤,分别创建第3节、第4节、第5节实体,如图9、图10、图ll所示。在绘制草图时,椭圆的长轴和短轴与表2相对应,圆为直径为端口直径;同一实体中的两个草图切口在同一侧,偶数节椭圆草图的切口与奇数节反转180°。

▲图9第3节实体

▲图10第4节实体

▲图11第5节实体
4 渐缩弯头平面展开
根据solidworks中钣金件可以展开的特性,把五节实体全部按“平板型式”展开,并生成工程图,然后按顺序依次将五个展开的工程图拼接起来,便形成该渐缩弯头的平面展开图,如图12所示。这样就可以对展开图进行任意等分,标注各节管相应素线的长度。

▲图12渐缩弯头展开图
5 结论
以上利用三维软件solidworks,对渐缩弯头管件五节管分别进行钣金建模。考虑实际加工中节省材料的情况,在对五节管件建模时,把偶数节草图的切口与奇数节草图切口反转180°。根据SolidWorks软件中钣金件可以进行平面展开的特性,把五节管分别按“平板型式”展开,然后转化成工程图,按顺序将五个工程图拼接起来,便形成该渐缩弯头的展开图。该方法能够对任意弯头端口直径(D,d)、任意弯曲中心线半径R、任意节数 N、任意端口平面夹角λ的渐缩弯头管件进行快速、准确的展开,在实际生产加工中具有重要意义。
