SolidWorks 是美国 Windows 原创的三维立体设计软件。它具有独特的特征管理树,可以进行草图绘制,构建零件模型,实现由零件自动生成工程图和装配图。SolidWorks 包含有各种功能的插件:高级渲染软件 PhotoWorks、特征识别FeatureWorks、动画制作 Animator、管道设计Toolbox 和齿轮设计 Gear 软件包。
基于 SolidWorks 的齿轮设计软件对变位齿轮进行分析与设计是该文的讨论核心。
1 变位齿轮
在齿轮加工过程中,为了防止用标准刀具切制齿数较少的齿轮而发生根切现象,通过改变刀具与轮坯的相对位置来切制齿轮,避免了齿轮加工中的根切,这种方法就是所谓的变位修正法,利用这种方法加工的齿轮即为变位齿轮。
变位齿轮的应用可以解决如下问题:① 用范成法加工齿轮时,当被切齿轮齿数 z﹤zmin时,避免发生的根切;② 在中心距 a~≠a=1/2m∑z的情况下实现正确啮合;③ 提高齿轮传动的承载能力,减少或均衡齿面的磨损以提高传动使用寿命;④ 满足某些特殊要求,如增大重合度等。加工变位齿轮时,刀具由切制标准齿轮的位置沿径向从轮坯中心向外移开的距离用 xm 表示,m 为模数,x 称为径向变位系数。x>0 为正变位齿轮,x<0 为负变位齿轮,x=0 为标准齿轮,3 种不同的齿轮齿形关系如图 1 所示。变位齿轮的几何尺寸:
齿顶高 ha=(ha*+x)m,(ha*为齿轮的齿顶高系数)
齿根高 hf=(hf*-x)m, (hf*为齿轮的齿根高系数)
齿厚 s=(π/2+2xtanα)m(s 为齿轮分度圆上的轮齿厚度,图 1)
齿槽宽 e=(π/2-2xtgα)m

可见变位系数对齿轮齿形的影响是不能忽视的。当 x>0 时,正变位齿轮的齿厚 s 加大,齿顶高增大,齿根高减少;x<0 时,负变位齿轮的齿厚 s 变薄,齿顶高减少,齿根高增大。为了直观地反映变位系数对齿形变化的影响,以SolidWorks 软件为平台,研究和设计直齿变位齿轮是问题的核心。
2 建立变位齿轮模型
2.1 构建不同的变位齿轮
启动齿轮设计软件包:打开"新建零件"→工具(tool)→宏操作(M)→运行→齿轮.swp→出现齿轮设计参数控制件,如图 2 所示,设置齿数 z、模数 m 相同,但变位系数不同的 3 组齿轮参数,即 z=20、m=3,而 x 分别取 0.25、0、- 0.25时,其正变位齿轮各部分的参数信息如图3所示。分别输入 3 组数据可生成正变位齿轮图 4(a)、标准齿轮图 4(b)和负变位齿轮图 4(c)模型。



2.2 分析变位系数 x 和齿数 z 对齿轮齿形的影响
(1) 当 x>0 时,齿顶厚 sa(齿顶圆上轮齿厚度,图 1 所示)减薄,齿高增加;而 x<0时,齿顶厚 sa加厚,齿高减少。
(2) 当正变位系数 x 过大(特别是齿数 z较少时)就可能出现齿顶过薄,或者出现顶切现象,如图 5 所示。其 z=16,m 和 x 与图 4(a)相同,但齿形不同,其顶切较明显;
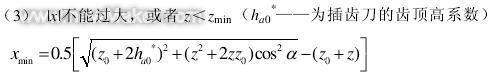
(3) 当负变位系数 x 过大或者 z
以上图像可以直观的反映变位齿轮的变位系数 x 对齿轮几何尺寸的影响,又对变位齿轮的顶切作出分析。

2.3 对变位齿轮进行一些限制,避免出现以上现象



3 变位齿轮的设计
SolidWorks 不但能设计出形状逼真的三维立体 ,而且可以利用已经设计的三位模型创建所需的各个视图,包括剖视图、局部放大视图等,极大地方便了产品的设计。以 CM6154 车床床头箱变位齿轮(z=40,m=3,x=0.42)为例,讨论基于 SolidWorks 设计变位齿轮的实体和工程图。
3.1 设计齿轮实体的流程
(1) 形体设计
启动齿轮插件 → 设置齿轮参数(图 6)→生成齿轮模型→拉伸 → 轮毂→切挖 →辐板(图 7)→切键槽→倒角 → 倒圆角 →生成齿轮模型。

(2) 外部特征设置
齿轮模型外部特征的设置可以使虚拟模型更加真实,模型的外部特征决定形体具有的颜色和材质等。在 SolidWorks 中利用外观(Appearance)命令可以控制模型的颜色,还可以对模型的加工纹理(Texture)、材质(Material)进行设置使模型更加真实、效果更好。利用场景(scene)、光源(light)等可以设置合适的光线及光源,衬托模型。利用材质(Material)设定材料的属性。SolidWorks 提供了各种材质,可根据齿轮的特性选择材质。外部特征的设置使齿轮模型更加逼真,如图 8 所示。

3.2 生成工程图
在文件菜单中选择由实体图生成工程图 →选择工程图格式 → 生成标准的工程图→ 编辑视图 → 设置剖切位置,生成剖视图 →标注尺寸→填写标题栏。完成的工程图如图 9 所示。

4 结 束 语
以 SolidWorks 为设计平台进行的直齿变位齿轮的研究和设计,从理论和实际两个方面分析了变位系数对齿形的影响,有利于变位齿轮的设计和教学工作,齿轮模型生成的工程图极大地方便了齿轮设计。
